
Many industrial processes require the addition or removal of heat and heat exchangers are often used to do this. There are many heat exchange applications within processing plants such a process heating and cooling, vapor condensing to sample conditioning. Ensure you are meeting your application needs by selecting the right specialty heat exchanger.
What are specialty heat exchangers?
The term specialty heat exchangers is used to define units that make them uniquely suited to special applications. Physical characteristics of these specialty heat exchangers include:
- special materials of construction
- compact size low pressure drop
- close approach temperatures – getting the temperature of the process fluid as close as possible to the heat transfer fluid temperature
A rule of thumb for this equipment is process fluids can be heated or cooled to within about 10 F (5.5 C). However, other unique features such as fully drainable and low pressure drop as well as special certifications are applicable.
In power generation, for example, specialty heat exchangers cool steam and water within the steam and water analysis system. Power plants also use sample coolers to condition steam and water samples for accurate chemical analysis.
How do heat exchangers work?
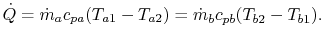
The basic formula for heat exchange between two single phase liquids is:

Q is the heat flow, m is the mass of each liquid, cp is specific heat of the liquid and the T’s are the temperatures of the fluids entering and leaving the heat exchanger.
This equation is more complex when dealing with fluids that change state during heat exchange such as condensing a vapor. However, the general idea is to transfer heat from one fluid to the other and balance between the mass of fluid and the temperature difference as it enters and leaves the heat exchanger. Depending on the application, a balance is made with the efficiency of heat transfer, pressure drop and the size of the heat exchanger and materials of construction.
CHOOSing THE RIGHT HEAT EXCHANGER
For safety and efficiency, it’s critical to choose the right heat exchanger for the right application.
Aligning your heat exchanger choice with these criteria is imperative, especially the smaller scale specialty models used in industrial applications for power generation, petro-chemical or refining plants.
Selecting a one-size-fits-all heat exchanger for a process might seem to be less expensive at first, but can end up being inefficient, uneconomical, and hazardous to operators, equipment and assets.
Ready to learn more? It’s all in our eBook, Specialty Heat Exchangers 101: Considerations for Choosing the Right One for Your Application. In it, you’ll learn:
- How heat exchangers are used
- The most common types of heat exchangers
- Important selection considerations when choosing a heat exchanger
- How heat exchanger designs are designed to meet varying requirements
- Heat exchanger materials
This guide will give you a framework on how to choose the best type of heat exchanger to your application.
Download your free copy now by clicking below.


